网站首页 >新闻中心 > 公司动态

味醛净除醛除味喷剂新品发布及功能测试

分享到:
点击次数:1292 更新时间:2020年03月28日22:02:55 打印此页 关闭

甲醛释放的特点

  1. 释放周期长;3-15年

  2. 受温湿度影响;温度越高释放量越大,湿度越高释放量越大;

  3. 与空气中甲醛存在吸附-释放平衡;室内甲醛浓度低了大量释放,浓度高了释放减少。

      新装修房间、新置办家具、新铺地毯等都会遇到甲醛污染的问题,市场上的除醛产品鱼龙混杂,几乎难以找到一款可以一劳永逸的产品,解决这恼人的甲醛污染问题,再结合以上的甲醛释放特点来看,室内甲醛的净化是一场持久且劳民伤财的战争!白血病、肺癌、呼吸系统疾病、免疫力下降这些甲醛带来的隐患,时时刻刻刺激着新居人的神经。

新产品来袭。。。。

      为了解决室内的甲醛、甲苯等室内有机物污染问题,清华大学环境学院张彭义教授课题组自国家863项目《室内空气净化技术与产品研制》立项以来一直潜心研究室内空气中有机物的净化技术。继活性锰甲醛分解毡之后,又一高科技净化产品即将推向市场----味醛净喷剂。

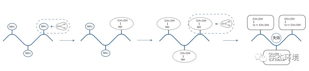
      味醛净喷剂主要由氨基衍生物、成膜剂、抑菌剂等组成,采用了大众比较熟悉的喷涂形式,将喷剂均匀喷涂于板材面、墙面后,氨基衍生物会通过基材空隙快速渗入,并与基材中的游离甲醛反应生成仲胺或叔胺类衍生物,未渗入基材的氨基衍生物会与释放到空气中的甲醛反应,从而净化空气中的甲醛;而成膜剂在喷涂的基材表面迅速成膜,从而减少甲醛和TVOC的释放。双重净化作用同时进行,无需光照。




        氨基衍生物好比一个带有很多手臂分子团,每个手臂都将不可逆地抓取甲醛分子,一定时间后手臂用完,该材料将不再发挥净化作用,需要重新喷涂。

0

室内净化产品正确的选购方式

     一款没见过的产品过来,先别考虑它能不能管用,先看看它会不会成为人体新的危害!很多产品标示“纯天然,无公害”,这只是对自然环境无污染的意思,绝不是对人体无害,使用时还需慎重。购买空气净化类产品正确的选购方式应该按照以下三点考虑:

(1)对人体是否有毒害性;

(2)对家居用品是否有损害;

(3)净化效果的对比方法,及反馈到实际生活中是否有效。

开始按照以上规则评价产品了~

1

对人体是否有毒害性?

(1)产品毒性:

   按照“ GB/T 21603-2008 化学品 急性经口毒性试验方法”的测试结果,并参照“GB/T 21605-2008 化学品急性吸入毒性实验方法”中急性经口毒性分级,以 ICR 小鼠为研究系统,评价喷剂的急性经口毒性。

     本试验条件下,结果显示该受试物对雌、雄性 ICR 小鼠的经口急性毒性耐受剂量均大于 19.06g/kg BW,其经口半数致死剂量( LD50)均大于 19.06g/kg BW; 按照工业化学品毒性鉴定规范急性毒性分级相关标准,该产品毒性分级为低度危害。已经达到标准最低的等级啦  :)

(2)皮肤刺激性

      由于需要人员操作来使用该类产品,不可避免会沾染到皮肤上,故需要测试对皮肤是否有刺激性。

      按照“ GB/T 21604-2008 化学品 急性皮肤刺激性/腐蚀性试验方法”,以日本大耳白兔为研究系统,对受试物除甲醛喷剂急性皮肤刺激性进行评价。结果显示该受试物对日本大耳白兔皮肤无刺激性。

2

对家居用品是否有损害?

     家中大部分家具都是木质材料,这种材料和纺织品在潮湿环境中易受微生物的侵蚀出现腐坏、发霉等状况,这不仅影响家居用品的使用寿命也给室内环境带来污染。大量植物萃取物、生物酶或含有其他有机物成分的喷涂材料都有可能成为微生物的有机营养源,因此要考察喷涂材料本身的防霉抗菌性。

(1)防霉性

(2)抑菌性

      依据标准 GB21551.2-2010 家用和类似用途电器的抗菌、除菌、净化功能 抗菌材料的特殊要求测试了味醛净喷剂的防霉抑菌性能,防霉性能采用黑曲霉、土曲霉、宛氏拟青霉、绳状青霉、球毛壳霉和出芽短梗霉测试,长霉等级为0级,即无生长,显微镜(放大50倍)下观察未见生长;抑菌性能采用大肠杆菌测试,抗菌率为99.99%。

味醛净通过了“体检”,该看净化效能了 :)

3

味醛净除醛除TVOC性能

    喷剂类产品对甲醛和TVOC是否有净化作用主要从两个方面考察:(1).对释放到空气中的甲醛是否有净化作用;(2).对板材释放污染物是否有抑制作用。

     根据上面两个方面进行详细研究味醛净的净化效果:

(1)净化空气中的甲醛

     测试方法:取20 g喷剂于培养皿内,105 ℃干燥后放置于4 L测试舱密闭盒中;向测试舱中注入甲醛溶液,等舱内甲醛浓度稳定后打开舱内密闭盒(光触媒喷剂同时打开舱内日光灯)测试涂刷喷剂的铝片对甲醛的去除性能。

    测试结果如图所示,与市场上销售的光触媒、生物酶对比,味醛净产品除甲醛速率高,且净化更彻底(甲醛浓度最低)。

    采用以上实验方法,对同一份味醛净进行重复测试,经过重复5次的测试味醛净除醛性能衰减较少,故相同体积的喷剂,与市场上相似产品对比,味醛净喷剂对甲醛具有更高的净化量。

(2)抑制板材中甲醛释放性能

    测试条件:每次用三块裸板(11×11×1.1cm)测试,用液枪量取5mL喷剂,用刷子均匀的涂抹在裸板上,待三块裸板晾干后,放入30L的测试舱中,测试喷剂对板材释放的甲醛的净化效果。

     测试环境:测试舱30L,温度30℃,换气流速为:0.5L/min,采样体积:2L。

     味醛净可有效的抑制裸板和饰面板中甲醛的释放,且和市场上的相似产品对比也具有明显的优势。

(3)抑制板材中VOCs的释放性能

      测试方法:两个30 L测试舱,分别为空白舱和实验舱,纤维板(饰面板 白色,封边)20×20×1 cm三块,试件表面积0.264 m2,每块纤维板刷涂5mL喷剂,自然晾干后作为实验组与三块未刷涂喷剂的裸板做对照实验。舱内温度25 ℃,流入舱内空气流量 0.5 L/min,空气置换率1次/h。采用Tenax吸附管采集,ATD-GC-MS分析VOCs的浓度

    测试结果如上图所示,自研的喷涂材料对抑制板材VOCs释放作用明显,和市场上其他光触媒相比,效果明显,对板材VOCs释放抑制率约为70%。

(4)第三方检测

    广州微生物研究所依据标准JC/T1074-2008 室内空气净化功能涂覆材料净化性能,测试该喷涂材料甲醛去除率为96%。

(5)实际使用效果

     购买两个相同的人造板柜子,测试味醛净喷剂对柜子的治理效果;柜子尺寸:40*42.5*58 cm

    整个柜子喷涂100mL味醛净喷剂晾干后采用英国PPM甲醛检测仪开始测试每个抽屉的甲醛浓度,并取空白柜子和喷涂柜子的平均值,比较喷剂的净化效果。

     测试周期长达55天(7月~9月),期间正是北京高温高湿天气,温度变化范围为:27~35℃,湿度变化范围为:50%~75%。

通过在实际家具中使用并跟踪测试得出:

  • 味醛净喷剂喷涂后高温高湿天气有效时间为:25天;

  • 温、湿度降低后,柜子甲醛污染大幅下降,喷剂喷涂后的有效期大于30天;

  • 初期使用,对甲醛的净化率>80%,整个测试期间甲醛平均去除率为60%。

上一条:甲醛性能检测装置,快速科学优选除醛产品 下一条:高温高湿天气小心甲醛
  • 发表评论
  • 查看评论
文明上网理性发言,请遵守评论服务协议。
首页 上一页 下一页 尾页